컴퓨터공학기초 개념/알고리즘 개념
Advanced Algorithm - 병합 정렬 (Merge Sort)
devraphy
2020. 9. 17. 13:00
1. 병합 정렬이란?
- 분할 정복 알고리즘을 기반한 정렬이다.
- 재귀용법을 사용한다.
a) 병합 정렬의 동작 방식
1. 리스트를 절반으로 잘라 비슷한 크기의 두 부분 리스트로 나눈다.
2. 각 부분 리스트를 재귀적으로 합병 정렬을 이용해 정렬한다.
3. 두 부분 리스트를 다시 하나의 정렬된 리스트로 합병한다.

2. 어떻게 구현할까?


필요한 기능
1. 단위 데이터까지 나누는 기능
* 단위 데이터: 더 이상 분리될 수 없는 데이터
2. 나눠진 데이터를 정렬하면서 합치는 기능
3. 재귀 용법을 활용하여 1번과 2번 기능을 구현
3. 코드 구현
1) 리스트를 분리하는 기능
def split(data):
medium = int(len(data) / 2) #리스트의 중간위치
left = data[:medium]
right = data[medium:]
return split(left), split(right)
2) 분리된 리스트를 정렬 및 병합하는 기능
def merge(left, right):
storage = list() #합칠 때 사용할 별도의 리스트 공간
left_index, right_index = 0,0
# case1: left와 right가 모두 남아있을 때
while len(left) > left_index and len(right) > right_index:
if left[left_index] > right[right_index]:
storage.append(right[right_index])
right_index += 1
else:
storage.append(left[left_index])
left_index += 1
# case2: left만 남아있을 때
while len(left) > left_index:
storage.append(left[left_index])
left_index += 1
# case3: right만 남아있을 때
while len(right) > right_index:
storage.append(right[right_index])
right_index += 1
return storage
3) 위의 두 가지 기능을 재귀함수로 구현
def merge_split(data):
if len(data) <= 1:
return data
else:
medium = int(len(data) / 2) #리스트의 중간위치
left = merge_split(data[:medium])
right = merge_split(data[medium:])
return merge(left, right)
4) 최종 코드
def merge(left, right):
storage = list() #합칠 때 사용할 별도의 리스트 공간
left_index, right_index = 0,0
# case1: left/right가 아직 남아있을 때
while len(left) > left_index and len(right) > right_index:
if left[left_index] > right[right_index]:
storage.append(right[right_index])
right_index += 1
else:
storage.append(left[left_index])
left_index += 1
# case2: left만 남아있을 때
while len(left) > left_index:
storage.append(left[left_index])
left_index += 1
# case3: right만 남아있을 때
while len(right) > right_index:
storage.append(right[right_index])
right_index += 1
return storage
def merge_split(data):
if len(data) <= 1:
return data
else:
medium = int(len(data) / 2) #리스트의 중간위치
left = merge_split(data[:medium])
right = merge_split(data[medium:])
return merge(left, right)
[테스트 및 결과]

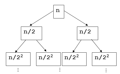
4. 병합정렬의 시간복잡도

[설명]
