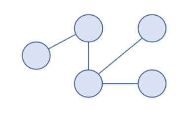
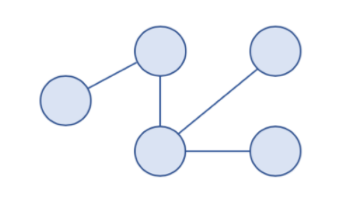
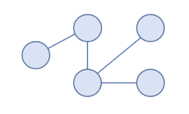
1. 그래프(Graph) 란?
- 실제 세계의 현상이나 사물을 정점(Vertex) 또는 노드(Node)와 간선(Edge)로 표현하기 위한 방법
ex) 집에서 회사로가는 경로를 그래프로 표현

a) 그래프 관련 용어 정리
-
노드(Node): 위치를 말함, 정점(Vertex)라고도 함
-
간선(Edge): 위치 간의 관계를 표시한 선으로 노드를 연결한 선이라고 보면 됨 (link 또는 branch 라고도 함)
-
정점(vertex) 또는 인접 정점 (Adjacent Vertex): 간선과 직접 연결된 정점(또는 노드)
ex) 집과 지하철, 집과 버스, 버스와 회사, 지하철과 회사 -
추가 참고 용어
- 정점의 차수 (Degree): 무방향 그래프에서 하나의 정점에 인접한 정점의 수
- 진입 차수 (In-Degree): 방향 그래프에서 외부에서 오는 간선의 수
- 진출 차수 (Out-Degree): 방향 그래프에서 외부로 향하는 간선의 수
- 경로 길이 (Path Length): 경로를 구성하기 위해 사용된 간선의 수
- 단순 경로 (Simple Path): 처음 정점과 끝 정점을 제외하고 중복된 정점이 없는 경로
- 사이클 (Cycle): 단순 경로의 시작 정점과 종료 정점이 동일한 경우
2. 그래프의 종류(type)
a) 무방향(undirected) 그래프
- 간서의 방향이 없는 그래프
- 노드 간의 양방향 이동 가능
- 노드 A, B가 무방향 간선으로 연결된 경우, (A,B) 또는 (B,A)로 표기 (괄호의 모양이 중요)

b) 방향(directed) 그래프
- 간선의 방향이 있는 그래프
- A → B로 이동하는 간선의 경우 <A,B> 로 표기 (괄호의 모양이 중요)

c) 가중치(weighted) 그래프 또는 네트워크(network)
- 간선에 비용 또는 가중치가 부여되어 있는 그래프

d) 연결/비연결(connected/disconnected) 그래프
- 연결 그래프: 무방향 그래프에 있는 모든 노드에 대해 항상 경로가 존재하는 경우
- 비연결 그래프: 무방향 그래프에서 특정 노드에 대해 경로가 존재하지 않는 경우

e) 사이클/비사이클(cycle/acyclic) 그래프
- 사이클: 단순 경로의 시작노드와 종료노드가 동일한 경우
- 비사이클: 단순 경로의 시작노드와 종료노드가 다른 경우

f) 완전(complete) 그래프
- 그래프의 모든 노드가 서로 연결되어 있는 그래프

3. 그래프와 트리의 차이
- 트리: 그래프 자료구조에 포함되는 하나의 종류
| 그래프 | 트리 | |
| 정의 | 노드 간의 연결을 간선으로 표현하는 자료구조 |
그래프의 한 종류, 방향성이 있는 비순환 그래프 |
| 방향성 | 방향/무방향 모두 존재 | 방향 그래프만 존재 |
| 사이클 | 순환/비순환 모두 존재 | 비순환 |
| 루트노드 | 루트노드가 존재하지 않음 | 루트노드가 반드시 존재 |
| 부모/자식 관계 | 부모/자식 개념이 없음 | 부모/자식 관계가 존재함 |
'컴퓨터공학기초 개념 > 알고리즘 개념' 카테고리의 다른 글
| Advanced Algorithm - 깊이 우선 탐색(Depth First Search) (0) | 2020.09.25 |
|---|---|
| Advanced Algorithm - 너비 우선 탐색(Breadth First Search) (0) | 2020.09.24 |
| Advanced Algorithm - 순차 탐색(Sequential Search) (0) | 2020.09.22 |
| Advanced Algorithm - 이진 탐색(Binary Search) (0) | 2020.09.18 |
| Advanced Algorithm - 병합 정렬 (Merge Sort) (0) | 2020.09.17 |
댓글